وزارة الصحة تكشف العدد الحقيقي لضحايا مجزرة ضحيان بصعدة + (أسماء)
متابعات:
أعلن وزير الصحة والسكان اليمني الدكتور طه المتوكل، اليوم الجمعة، أن عدد شهداء مجزرة سوق ضحيان التي ارتكبها طيران العدوان السعودي الأمريكي أمس الخميس وصل إلى 51 بينهم 40 طفلا، و79 جريحا بينهم 56 طفلا، مؤكدا أن هناك غطاء أمريكي إسرائيلي لهذه المجزرة.
وذكر الوزير خلال مؤتمر صحفي عقده في مكان المجزرة بضحيان أن الإحصائية غير النهائية لمجزرة العدوان بحق حافلة الطلاب وسوق ضحيان وصلت إلى 131 شهيدا وجريحا.
وأوضح أن عدد الشهداء وصل إلى 51 بينهم 40 طفلا بالإضافة إلى 79 جريحا بينهم 56 طفلا، مشيرا إلى أن هناك مجهولين ومفقودين من بين الضحايا.
ولفت إلى أن هناك عدد من المفقودين لم يتم التعرف عليهم بسبب تناثر أشلاء الضحايا إلى أسطح المنازل والأماكن المجاورة حول مكان الجريمة، وبسبب اختلاط الأشلاء مع بعضها.
وحمل وزير الصحة اليمني تحالف العدوان السعودي الأمريكي المسؤول المباشر على المجزرة، مؤكدا أن هناك غطاء أمريكي واسرائيلي لهذه المجزرة المروعة.
ودعا الوزير المجتمع الدولي والأمم المتحدة إلى وقف العدوان والإبادة التي يتعرض لها الشعب اليمني ومحاكمة المجرمين، مطالبا الشرفاء والأحرار في العالم إدانة هذه المجزرة والوقوف بجدية أمام ما يتعرض له اليمن من مذابح.
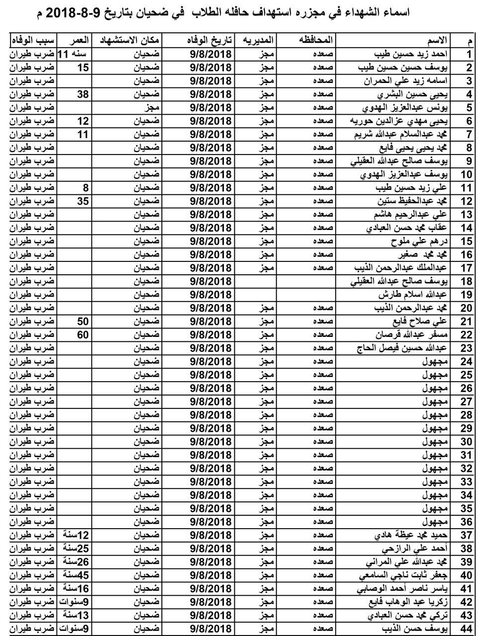
*أسماء شهداء #مجزرة_طلاب_ضحيان بصعدة
*أسماء الجرحى في #مجزرة_طلاب_ضحيان بصعدة



